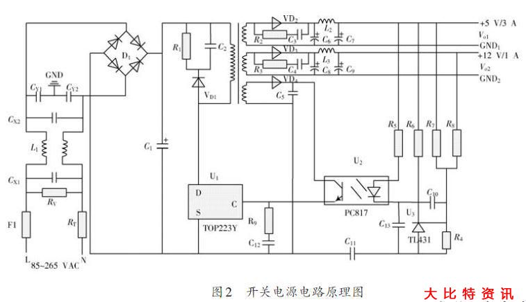
3.2 输入整流滤波电路 由EMI滤波电路、整流电路、稳压电路组成。 EMI滤波电路针对来自电网噪声干扰。采用由L1,CX1,CX2,CY1,CY2构成典型的Π型滤波器。 CX1和CX2用来滤除来自电网的差模干扰,称为X电容,通常取值100~220 nF,这里取100 μF;CY1和CY2用来滤除来自电网的共模干扰,称为Y电容,通常取值为1~4.7 nF,这里取2.2 nF;同样用来消除共模干扰的共模电感L1的取值8~33 mH,这里取8 mH,采取双线并绕。 输入整流电路选择不可控全波整流桥。整流桥的反向耐压值应大于1.25倍的最大直流输入电压,整流桥的额定电流应大于两倍的交流输入的有效值,计算后选择反向击穿电压为560 V,额定电流为3 A的KBP306整流桥。 在当前的供电条件下,输入储能CIN的值根据输出功率按照2~3 μF/W 来取值,考虑余量,取CIN=100 μF/400 V的电解电容。假设整流桥中二极管导通时间为tc=3 ms,可由:

得到输入直流电压的最小值和最大值。
|